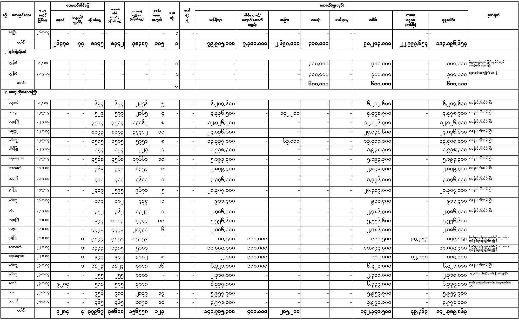
၂၀၁၇ ခုနှစ်၊ ဇူလိုင် (၁) ရက်နေ့မှ စက်တင်ဘာလ(၃) ရက်နေ့အထိ တိုင်းဒေသကြီး / ပြည်နယ်များတွင် ရေဘေးဖြစ်ပွားမှုနှင့် လူမှုဝန်ထမ်း၊ ကယ်ဆယ်ရေးနှင့် ပြန်လည်နေရာချထားရေးဝန်ကြီးဌာနမှ ထောက်ပံ့မှုအခြေအနေ

5.9.17_Page_1 5.9.17_Page_2 5.9.17_Page_3 5.9.17_Page_4 5.9.17_Page_5 5.9

Sign Up

Upcoming Events